云南省财政厅事业单位成绩的发布通常伴随着严谨的程序和规范的流程,旨在确保招录工作的公平、公正、公开,根据历年惯例及相关政策要求,成绩的查询一般通过官方指定渠道进行,考生需密切关注云南省财政厅官网或云南省人力资源社会保障厅发布的公告,以获取最权威的信息,成绩构成方面,事业单位招聘考试一般包括笔试和面试两个主要环节,部分岗位可能还涉及专业技能测试或实操考核,笔试成绩通常占总成绩的40%-60%,面试成绩占40%-60%,具体权重以岗位招聘公告为准,笔试内容主要涵盖《职业能力倾向测验》和《综合应用能力》两科,部分岗位可能增加专业知识测试,重点考察考生的综合素质、专业基础及解决实际问题的能力,面试则多采用结构化面试、无领导小组讨论等形式,侧重评估考生的逻辑思维、语言表达、应急应变及岗位匹配度。

在成绩公布后,考生需及时登录指定查询系统输入个人信息(如准考证号、身份证号等)获取个人成绩,成绩公示期间,若对结果有异议,可在规定时限内通过书面形式提交复核申请,复核内容仅限于登分、合分是否准确,不涉及评分标准及试卷批阅宽严度的评判,云南省财政厅会组织专人对成绩进行复核,并在规定时间内反馈结果,部分岗位可能会设置合格分数线,笔试成绩或面试成绩未达线的考生将无法进入后续环节,进入面试环节的考生,其笔试成绩需从高到低进行排名,按照岗位招聘人数1:3或1:5的比例确定面试人选,具体比例依据岗位竞争情况调整。
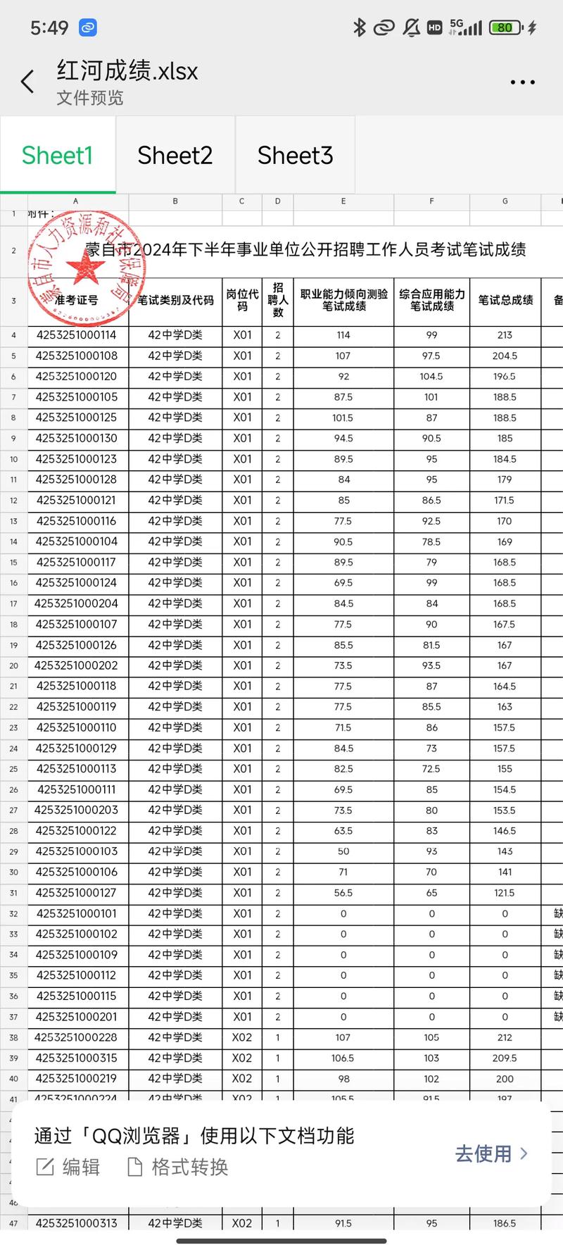
为帮助考生更清晰地了解成绩核算规则,以下以常见岗位为例说明总成绩计算方式(具体以当年公告为准):
| 考试环节 | 分值占比 | 计算方式 | 备注 |
|---|---|---|---|
| 笔试成绩 | 50% | 《职业能力倾向测验》×50%+《综合应用能力》×50% | 部分岗位含专业知识测试 |
| 面试成绩 | 50% | 面试各考官评分去掉最高分和最低分后的平均分 | 结构化面试或专业技能测试 |
| 总成绩 | 100% | 笔试成绩×50%+面试成绩×50% | 四舍五入保留两位小数 |
成绩查询及后续注意事项:考生需在成绩公布后仔细核对个人信息,确认是否进入资格复审环节,资格复审一般要求考生提供身份证、准考证、毕业证、学位证、岗位要求的相关资格证书原件及复印件,部分岗位还需提供工作经历证明或劳动合同,未按规定参加资格复审或材料不齐的考生,将视为自动放弃面试资格,面试结束后,总成绩及进入体检人员名单将在官方平台公示,公示期不少于5个工作日,体检标准参照《公务员录用体检通用标准(试行)》执行,体检费用由考生自行承担。
针对云南省财政厅事业单位成绩的常见问题,以下是两个典型FAQs及解答:

FAQ1:笔试成绩复核的具体流程和时限是什么?
解答:考生对笔试成绩有异议的,需在成绩公布后3个工作日内,向云南省财政厅提交书面复核申请,注明姓名、准考证号、申请复核的科目及理由,并附本人身份证复印件及准考证复印件,复核申请可通过现场提交或指定邮箱提交(具体方式以公告为准),财政厅将在收到申请后的5个工作日内组织复核,并将复核结果书面告知考生,复核仅检查分数统计、登分是否准确,不重新阅卷,逾期未申请的视为无异议。
FAQ2:面试结束后,总成绩如何计算及排名?
解答:总成绩按笔试成绩×50%+面试成绩×50%计算,四舍五入保留两位小数,若总成绩相同,按面试成绩从高到低排名;若面试成绩仍相同,按笔试中的《综合能力测验》成绩从高到低排名,排名结果将在云南省财政厅官网公示,公示内容包括考生姓名、准考证号、总成绩及排名,公示期为5个工作日,考生对排名有异议的,可在公示期内向财政厅书面反映,逾期不予受理。

