由于时间已经过去很久,官方的原始查询链接可能已经失效或下线,但根据当年的公告和惯例,查询流程和步骤是清晰可循的,以下信息综合了2025年日照市东港区教师招聘的官方公告内容。

(图片来源网络,侵删)
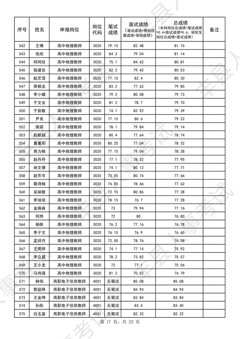
核心信息摘要
- 查询时间:根据2025年东港区教育局发布的《2025年日照市东港区公开招聘教师简章》,笔试成绩及进入面试范围人员名单于 2025年6月12日 在指定网站公布。
- 查询入口:当年的查询入口是 日照市东港区教育局官方网站。
- :通常包括笔试成绩、岗位排名、是否进入面试资格复审等。
如何查询(当年的方法)
虽然现在直接查询2025年的成绩已经没有实际意义,但了解当年的查询流程有助于您理解类似招聘考试的安排,当年的查询步骤如下:
-
访问指定网站:
- 打开浏览器,输入 日照市东港区教育局官方网站 的网址,当年的官网地址是:
http://www.dgqjyj.com/(网站可能会有改版,但这是当年的官方信息发布平台)。
- 打开浏览器,输入 日照市东港区教育局官方网站 的网址,当年的官网地址是:
-
查找公告通知:
- 在网站首页找到“通知公告”、“政务公开”或类似的栏目。
- 在该栏目下,查找标题为 《2025年东港区公开招聘教师笔试成绩及进入面试范围人员名单公示》 的公告,这个公告通常会在成绩公布当天或前一天发布。
-
下载并查看名单:
(图片来源网络,侵删)- 点击公告标题,进入详情页。
- 公告正文下方通常会提供一个或多个 附件(附件下载)。
- 附件的文件名一般是 《2025年东港区教师招聘笔试成绩及进入面试范围人员名单》 或类似名称,格式多为 Excel表格(.xlsx或.xls) 或 PDF文件。
- 下载该附件到您的电脑上。
-
搜索个人信息:
- 如果下载的是Excel文件,请用Microsoft Excel、WPS表格或其他办公软件打开它。
- 按下 Ctrl + F 键,调出“查找”功能。
- 在查找框中输入您的 “姓名” 或 “身份证号” 中的关键信息进行搜索。
- 找到您所在的行,即可查看您的笔试成绩、岗位排名以及是否进入面试资格复审环节。
关于面试资格复审和后续流程
查询到成绩后,如果进入面试,还需要关注后续步骤:
- 资格复审时间/地点:进入面试范围的人员,需在规定时间内(通常是成绩公布后的一周内)到指定地点进行资格复审,2025年的复审时间是 2025年6月14日 - 6月15日。
- 复审所需材料:通常需要携带本人身份证、笔试准考证、学历学位证书、教师资格证书、报到证等原件及复印件,以及《报名登记表》和《诚信承诺书》等。
- 面试通知:资格复审通过后,会领取面试通知书,上面会明确面试的时间、地点和形式。
重要提醒
- 时效性:以上信息完全基于 2025年 的情况,如果您现在查询是为了个人档案或了解历史流程,请注意这些数据已经过去很久,官方系统不再支持在线查询。
- 官方网站:对于任何最新的教师招聘信息,请务必以 日照市教育局 或 东港区人民政府/教育局 官方网站发布的最新公告为准,谨防非官方网站或个人发布的不实信息。
- 档案查询:如果您需要查询自己当年的考试成绩作为档案材料,建议您直接联系 日照市东港区教育局人事科 或 东港区事业单位人事管理部门,咨询如何调取或开具相关证明。
希望以上信息能帮助您回顾2025年东港区教师招聘的成绩查询流程。

(图片来源网络,侵删)
