贵州省兴义市事业单位招考是当地人才引进和公共服务体系优化的重要途径,每年都会吸引大量考生关注,这类招考工作通常由兴义市人力资源和社会保障局统筹组织,面向社会公开招聘各类事业单位工作人员,涵盖教育、医疗、文化、科技等多个领域,旨在充实基层服务力量,提升公共管理和服务水平。

从招考整体流程来看,一般包括公告发布、网上报名、资格初审、笔试、资格复审、面试、体检、考察、公示和聘用等环节,公告发布通常在兴义市人民政府官网或黔西南州人力资源和社会保障局官网,明确招聘岗位、人数、报考条件、考试科目及时间安排等重要信息,报考条件一般要求具有中华人民共和国国籍,拥护中华人民共和国宪法,具有良好的品行,具备岗位所需的专业知识或技能,适应岗位要求的身体条件,年龄大多限制在18周岁以上、35周岁以下(部分岗位对高级职称或特殊人才可适当放宽),学历要求以大专、本科为主,部分岗位对硕士研究生或特定技能人才有倾斜。
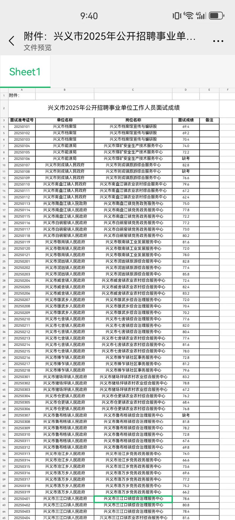
笔试环节是招考的关键,一般分为《公共基础知识》和《专业知识》两科。《公共基础知识》涵盖政治、经济、法律、管理、科技、人文、贵州省情及兴义市地方发展政策等内容,主要考察考生的综合知识储备;《专业知识》则根据岗位类别设置,如教育岗考教育理论、医疗岗考医学基础知识、综合岗可能结合岗位职能考察实务能力,笔试成绩通常按一定比例计入总成绩,面试多采用结构化面试或专业技能测试形式,重点考察考生的岗位匹配度、应急应变能力、语言表达及逻辑思维等综合素质。
近年来,兴义市事业单位招考呈现出几个特点:一是岗位设置更注重基层需求,尤其是乡镇(街道)事业单位和民生服务领域岗位占比提升;二是报考条件逐步细化,部分岗位明确要求“具有相应教师资格证”“执业医师资格证”或“工作经验”,针对性更强;三是招考流程更加规范,严格实行“凡进必考”,同时推进阳光招考,确保公平公正,2025年兴义市事业单位共计划招聘300余人,其中教育类岗位占比约40%,医疗类岗位约25%,综合管理类岗位约35%,吸引了超过5000人报名,平均竞争比达17:1,部分热门岗位竞争更为激烈。
对于考生而言,备考需结合岗位特点针对性复习:公共基础知识建议以贵州省情、时政热点和法律常识为重点,多刷历年真题;专业知识需夯实理论基础,关注行业动态,需密切关注官方公告,避免错过报名时间,报名时仔细核对岗位要求,确保信息真实准确,以免影响资格审核。

以下是兴义市事业单位招考常见问题的解答:
FAQs
-
问:非贵州户籍是否可以报考兴义市事业单位?
答:可以,兴义市事业单位招考通常面向全国户籍人员,只要符合岗位设定的学历、专业、年龄等条件,非贵州户籍考生均可报考,但部分岗位可能会明确要求“本籍优先”或“服务基层项目人员专项岗位”,需以当年公告为准。 -
问:服务基层项目人员在招考中是否有加分政策?
答:根据贵州省相关规定,参加“大学生志愿服务西部计划”“三支一扶计划”“农村义务教育阶段学校教师特设岗位计划”“大学生村官”等服务基层项目且服务期满、考核合格的考生,在事业单位招考笔试环节可享受加分政策,加分分值一般为5分或10分(具体以当年公告为准),考生需在报名时提供相关证明材料,并在资格审核时提交原件进行核实。
(图片来源网络,侵删)
